Home » Integral Of Sin3x Cos3x » Integral Of Sin3x Cos3x
Integral Of Sin3x Cos3x
Mundeep gill brunel university 1 integration integration is used to find areas under curves.
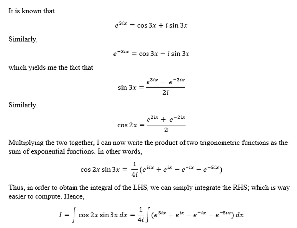
Integral of sin3x cos3x. Tutorial on how to use the technique of integration by substitution to find integrals. Examples and detailed solutions along with exercises and answers are also. Free trigonometric identity calculator verify trigonometric identities step by step. Integration the basics dr.






































