Integral Formulas Inverse Trigonometric Functions
Final answers by dr.
Integral formulas inverse trigonometric functions. In mathematics the trigonometric functions also called circular functions angle functions or goniometric functions are functions of an angle. Complex inverse trigonometric functions. Range of usual principal value. Definitions as infinite series.
Derivatives of inverse trigonometric. The inverse hyperbolic functions sometimes also called the area hyperbolic functions spanier and oldham 1987 p. 263 are the multivalued function that are the. The functions also called the circular functions comprising trigonometry.
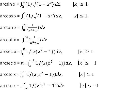
The cosecant cscx cosine cosx cotangent cotx secant secx sine sinx and tangent tanx. A lot of times to get the integral in the correct form we have to play with the function to get a 1 in the denominator either in the square root or without. These following is a list of integrals antiderivative functions of trigonometric functions. For antiderivatives involving both exponential and trigonometric.
In this section we will give a quick review of trig functions. We will cover the basic notation relationship between the trig functions the right triangle.







































